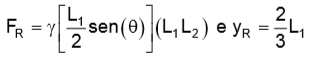
A Figura abaixo ilustra uma comporta retangular de comprimento L₁ e largura L₂ (perpendicular ao plano do papel).

A expressão do módulo da força resultante, FR, com que a água, com peso específico ४, atua sobre a comporta, e a coordenada y do ponto de aplicação dessa força, em relação à superfície livre do fluido, YR, são, respectivamente:




